Antiarrhythmic drugs are classified into four types, according to their electrophysiological properties.
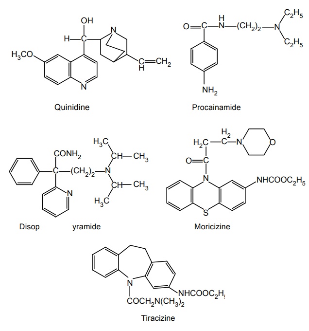
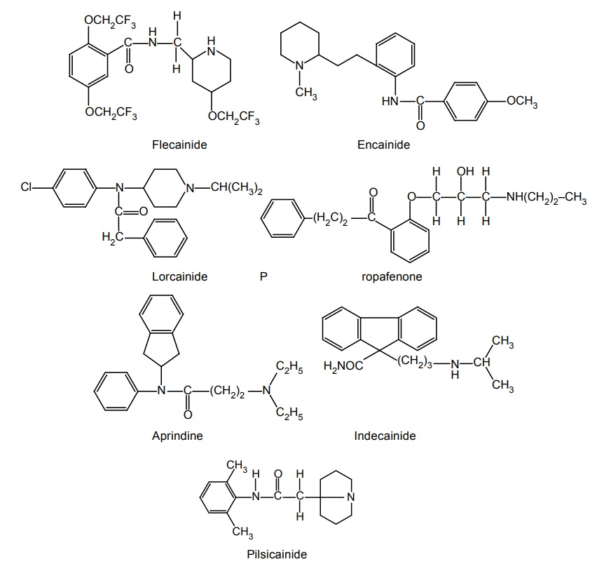
CLASSIFICATION Antiarrhythmic drugs are classified into four types, according to their electrophysiological properties. The drugs that are used for arrhythmias are sodium, potassium, and calcium channel blockers. Some have additional or even primary autonomic effects. Class 1: These have primary action on Na+ and K+ across the cell membrane. Class 2: These have primary action to suppress adrenergically mediated ectopic activity. Class 3: These are the drugs that prolong the repolarization. Action potential is widened and effective refractory period is increased. Class 4: Their primary action is to inhibit Ca2+ mediated currents. a. Moderate to marked sodium channel blockade agents b. Mild-to-moderate sodium channel blockade agents c. Marked sodium channel blockade agents -Dofetilide -IbutilideClass I: Blockade of fast sodium ion channel by depressing phase of the action potential



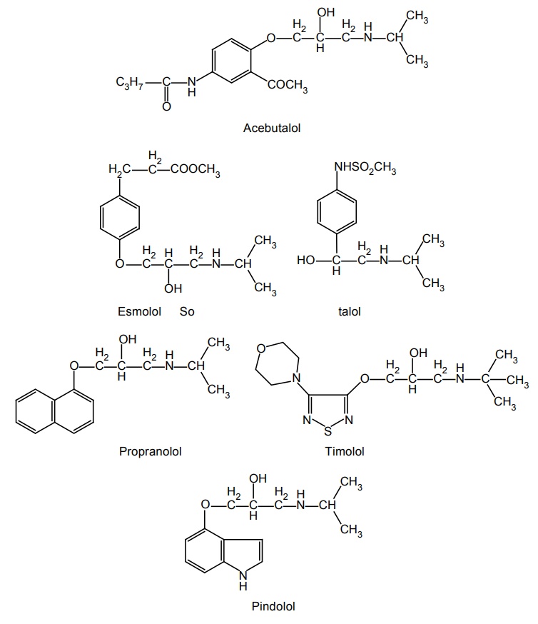
Class II: Beta Adrenergic Antagonists

Class III: Repolarization prolongators

Class IV: Calcium channel blockers

Related Topics
TH 2019 - 2027 pharmacy180.com; Developed by Therithal info.