i. Diphenhydramine (Benadryl, Bendylate) ii. Dimenhydrinate (Dramamine) iii. Bromodiphendhydramine (Ambodryl hydrochloride) iii. Doxylamine (Decapryn Succinate) iv. Carbinoxamine v. Clemastine vi. Diphenylpyraline (Diaben)

Synthesis

Properties and uses: Diphenhydramine hydrochloride is a white
crystalline powder, soluble in water and in alcohol. In addition, to
antihistaminic activity, diphenhydramine exhibits antiemetic, antitussive, and
sedative properties.
Assay: Dissolve the sample in alcohol and add 0.01 M hydrochloric acid
and titrate against 0.1 M sodium hydroxide. Determine end point
potentiometrically.
Dose: Usual dose is 25–50 mg for adult taken orally three to four
times per day with maximum of 400 mg per day; for skin: used topically 2% of
the cream three or four times per day.
Dosage forms: Diphenhydramine oral solution B.P.

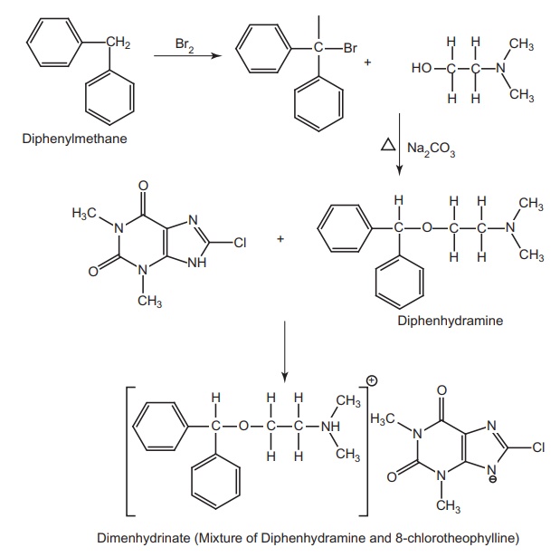
Synthesis

Properties and uses: Dimenhydrinate is a white crystalline powder or
colourless crystals, slightly soluble in water and in alcohol. Used as
histamine H1-receptor antagonist, antinauseant, in motion sickness,
radiation sickness, and also in the case of nausea during pregnancy.
Assay: Dissolve the sample in anhydrous acetic acid and titrate against
0.1 M perchloric acid. Determine the end point potentiometrically.
Dose: Usual dose is taken orally as 50 mg thrice/day.
Dosage forms: Dimenhydrinate tablets B.P.

Synthesis

Properties and uses: It is effective for mild, local allergic
reactions, physical allergy, and for minor drug reactions, characterized by
pruritis.
Dose: Usual dose is 25 mg three or four times per day.

Synthesis

Properties and uses: Doxylamine succinate is a white powder, highly
soluble in water and in alcohol. It is a relatively selective histamine H1-receptor
antagonist. In vivo studies have shown that concentrations dependent upon the
inhibition of histamine stimulated vascular permeability in the conjunctiva
following topical ocular administration. It appears to be devoid of effects on
adrenergic, dopaminergic, and serotonin receptors. It is used with antitussives
and decongestants for the relief of cough and cold.
Assay: Dissolve the sample in anhydrous acetic acid and titrate
against 0.1 M perchloric acid. Determine the end point potentiometrically.
Dose: Usual dose is 12.5 to 25 mg for adult taken orally four to six
times per day.

Synthesis

Properties and uses: Carbinoxamine is available as white, crystalline
powder with no odour, soluble in water, alcohol, chloroform, or ether. It is a
potent antihistaminic and is available as the racemic mixture. It differs
structurally from chlorpheniramine only in having an oxygen atom separate from
the asymmetric carbon atom in the aminoethyl side chain. The levo isomer of
carbinoxamine is more active than dextro isomer (s-configuration) of
chlorpheniramine.

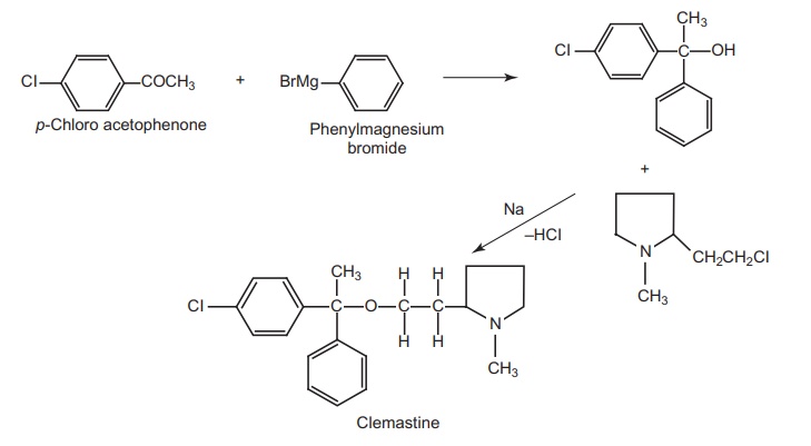
Synthesis

Properties and uses: Clemastine fumarate is a white crystalline
powder, very slightly soluble in water, slightly soluble in alcohol and
methanol. It has two chiral centres, each of which is (R) absolute
configuration. A comparison of the activities of the antipodes indicates that
the asymmetric centre close to the side chain of nitrogen is of lesser
importance to antihistaminic activity. It is a long-acting ethanolamine
antihistamine with sedative and anticholinergic side effects.
Assay: Dissolve the sample in anhydrous acetic acid and titrate against
0.1 M perchloric acid. Determine the end point potentiometrically.
Dosage forms: Clemastine oral solution B.P., Clemastine tablets B.P.

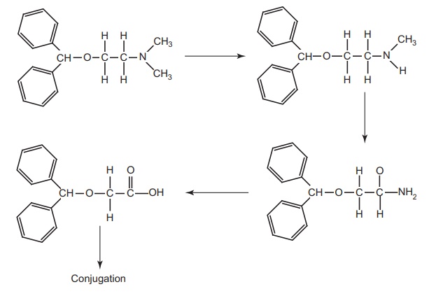
Synthesis

Metabolism: This type of drugs undergoes N-demethylation
(formation of corresponding secondary amine) and subsequent deamination
(formation of carboxylic acid metabolites) is the major pathway for
diphenylpyraline and some of its analogues. Minor metabolites that are
conjugates of the ether cleavage products have been found in some animal
species.

Properties and uses: Diphenylpyraline hydrochloride is a white
powder, soluble in water and ethanol, practically insoluble in ether. It is
structurally related to diphenhydramine with the aminoalkyl side chain
incorporated in a piperidine ring. It is a potent antihistaminic agent.
Assay: Dissolve the sample in anhydrous acetic acid and add mercury (II) acetate solution and titrate against 0.1 M perchloric acid using oracet blue B solution as indicator.
Dose: Usual dose for adults taken orally is 5 mg two times per day.
Related Topics
TH 2019 - 2027 pharmacy180.com; Developed by Therithal info.