Antihypertensive Drugs : Drugs acting on renin-angiotensin system - Synthesis and Drug Profile - i. Captopril (Aceten, Capotril) ii. Enalapril (Envas, Enace, Enam, Enapril) iii. Lisinopril (Hipril, Lipril, Linvas) iv. Ramipril (Hopace, Cardace, Race) v. Quinapril vi. Benazepril (Benace) - Structure, Properties, uses, Synthesis, Assay, Storage, Dosage forms, Dose | Synthesis and Drug Profile
Drugs acting on renin-angiotensin system

Synthesis

Properties and uses: It is a white or almost white crystalline powder and it dissolves in dilute sodium hydroxide and potassium hydroxide solution. It is also soluble in water, methylene chloride, and methanol. The first orally effective ACE inhibitor to have been marketed, it is approved for use in the treatment of hypertension, heart failure, left ventricular dysfunction, and postmyocardial infarction.
Assay: Dissolve the sample in water and titrate with 0.05 M iodine. Determine the end point potentiometrically.
Storage: It should be stored in well-closed airtight containers, and protected from light.
Dose: The usual dose is 12.5 or 25 mg twice daily.
Dosage forms: Captopril tablets B.P.

Properties and uses: It is a white or almost white, crystalline powder, and it dissolves in dilute solutions of alkali hydroxides, sparingly soluble in water, freely soluble in methanol, but insoluble in methylene chloride. A prodrug is converted to the active ACE inhibitor, enalaprilat. It is indicated for use in the treatment of hypertension, heart failure, and asymptomatic left ventricular dysfunction. It produces well to excellent responses in patients with essential hypertension.
Synthesis

Assay: Dissolve the sample in water and titrate with 0.1 M sodium hydroxide. Determine the end point potentiometrically.
Storage: It should be stored in well-closed airtight containers and protected from light.
Dose: The usual dose is 10–40 mg in one or two divided doses by oral route.

Properties and uses: It is a white or almost white crystalline powder, and is insoluble in acetone and in ethanol, soluble in water, but sparingly soluble in methanol. It is used in the treatment of renovascular hypertension, essential, malignant hypertension, and also for ventricular congestive heart failure.
Assay: Dissolve the sample in water and titrate with 0.1 M sodium hydroxide. Determine the end point potentiometrically.
Dose: The usual dose is 10mg/day.
Dosage forms: Lisinopril tablets B.P.
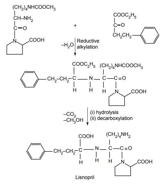
Synthesis


Properties and uses: It is a white or almost white crystalline powder, sparingly soluble in water, but freely soluble in methanol. It is used as an antihypertensive agent, and is also used in the treatment of nephropathy.
Assay: Dissolve the sample in methanol and add water. Titrate with 0.1 M sodium hydroxide and determine the end point potentiometrically.
Storage: It should be stored in well-closed airtight containers and protected from light.
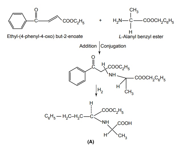
Step I: Synthesis of Compound A

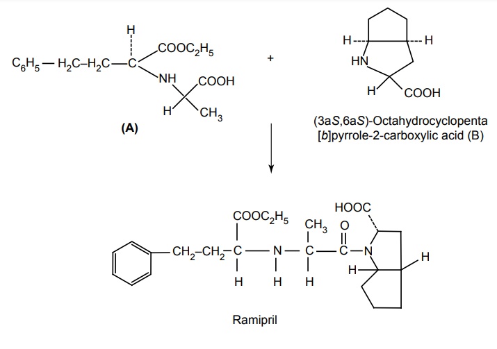
Step II: Synthesis of compound (3aS,6aS)-Octahydrocyclopenta[b]pyrrole-2-carboxylic acid (B)

Step III: Condensation of products of Step I (A) and Step II (3aS,6aS)-Octahydrocyclopenta[b] pyrrole-2-carboxylic acid

Dose: For hypertension: Adult: Initial, dose is 1.25 mg once daily given at bed time. Maintenance: 2.5–5 mg daily as a single dose, up to 10 mg daily as needed.
Dosage forms: Ramipril capsules B.P., Ramipril tablets B.P.

Properties and uses: It exists as white crystals. It is used as an antihypertensive agent and is also used in the treatment of congestive heart failure.
Dose: The initial oral dose is 10 mg once daily.
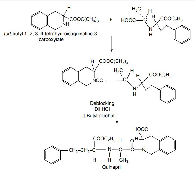
Synthesis


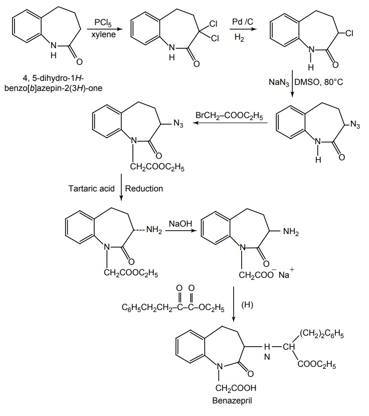
Properties and uses: It exists as a white crystalline powder that is soluble in water, ethanol, or methanol. It is beneficial for patients with congestive heart failure.
Dose: The Benazepril, administered at 10 mg/day is as efficacious as captopril at 50 mg/day, enalapril at 20 mg/day.
Synthesis

Related Topics
TH 2019 - 2027 pharmacy180.com; Developed by Therithal info.