Mode of action: Benzodiazepine receptors are present in the brain and they form a part of GABAA receptor’s chloride ion channel macromolecular complex.
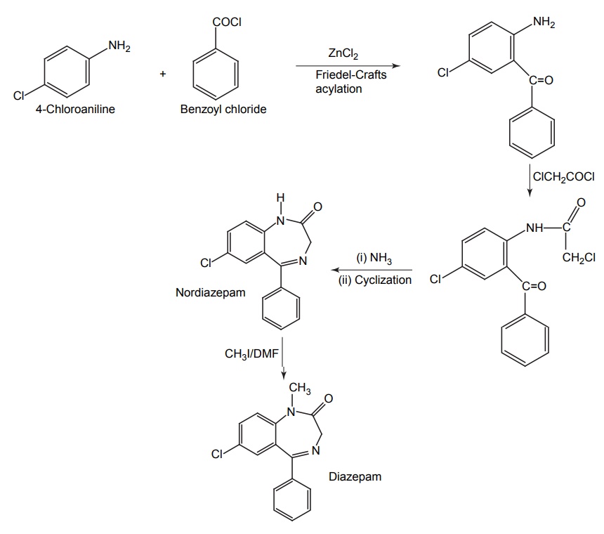
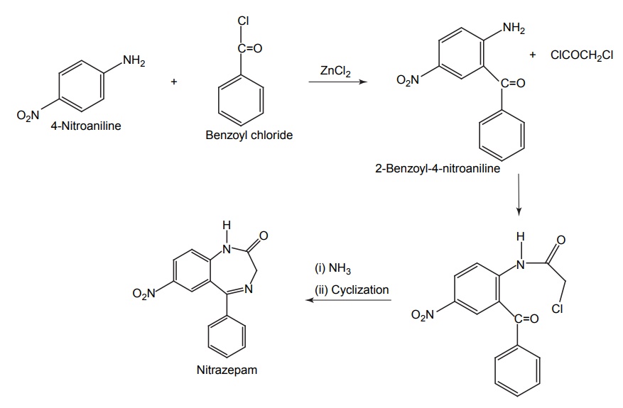
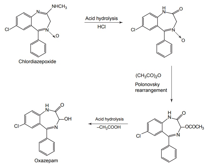
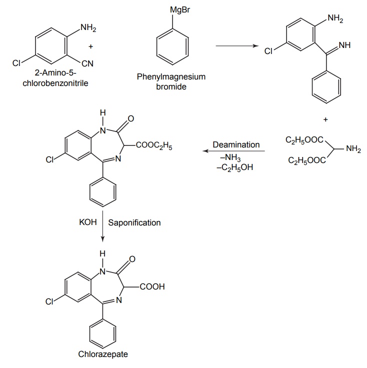
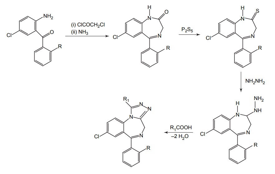
II. Benzodiazepines Mode of action: Benzodiazepine receptors are present in the brain and they form a part of GABAA receptor’s chloride ion channel macromolecular complex. Binding of benzodiazepines to these receptors produces activation of GABAA receptor and increases chloride conductance by increasing the frequency of opening chloride ion channel. These in turn inhibit neuronal activity by hyper-polarization and de-polarization block. Metabolism of Benzodiazepines: Compounds without the hydroxyl group are nonpolar, and undergoes hepatic oxidation. Compounds with hydroxyl groups have more polarity and are readily converted into the glucuronide conjugates and excreted easily. These compounds are also metabolized by 3-hydroxylation of benzodiazepine ring. Synthesis Properties and uses: It is a white or almost white crystalline powder soluble in ethanol and very slightly soluble in water. It is used as a skeletal muscle relaxant, anticonvulsant and antianxiety agent. It may take a long time to achieve sedative and antianxiety effects, during which time the patient can usually be maintained by giving the drug once or twice a day. Patients on the drug should be cautioned not to drive an automobile or to operate dangerous machinery until a few days after the drug has been discontinued. Assay: Dissolve the sample in acetic anhydride and titrate with 0.1 M perchloric acid and determine the endpoint potentiometrically. Storage: It should be stored in well-closed airtight containers and protected from light. Dose: For short-term management of anxiety: Adult: 2 mg three times a day. Maximum: 30 mg daily. For insomnia associated with anxiety—Adult: 5–15 mg at bedtime. Sleepwalking; night terrors— Children and adolescents (up to 18 years): 1–5 mg at bedtime. Anaesthetic premedication—Adult: 5–15 mg given before general anaesthesia. Child: 1–12 month: 250 μg/kg; 1–5 year; 2.5 mg; 5–12 year; 5 mg. For adjunct in the management of seizures— Adult: 2–60 mg daily in divided doses. For muscle spasms—Adult: 2–15 mg daily in divided doses, increased up to 60 mg daily in severe spastic disorders. Maximum: 60 mg/day. Child: 1–12 month, 250 μg/kg; 1–5 years, 2.5 mg; 5–12 years, 5 mg; 12–18 year; 10 mg. Maximum: 40 mg/day. Elderly: Dose reduction may be required. Dosage forms: Diazepam tablets I.P., B.P., Diazepam injection I.P., B.P., Diazepam capsules I.P., Diazepam oral solution B.P., Diazepam rectal solution B.P. Properties and uses: It is a yellow crystalline powder slightly soluble in alcohol and insoluble in water. It is used as sedatives and hypnotics, and in the management of myoclonic seizures. Assay: Dissolve the sample in acetic anhydride. Titrate the solution with 0.1 M perchloric acid and determine the endpoint potentiometrically. Storage: It should be stored in well-closed airtight containers and protected from light. Dose: For short-term management of insomnia—Adult: 5 mg at night; can increase to 10 mg, if necessary. Elderly and debilitated patients: less than the normal adult dose. For infantile spasms: Child and infant, 125 μg/kg two times a day; gradually increase to 250–500 μg/kg two times a day. Dosage forms: Nitrazepam tablets I.P., B.P., Nitrazepam oral suspension B.P. Synthesis Properties and uses: It is a white or almost white crystalline powder slightly soluble in ethanol and insoluble in water. It is useful for the control of acute tremulousness, inebriation, or anxiety associated with alcohol withdrawal. Side effects that have been observed include rashes, nausea, lethargy, oedema, slurred speech, tremor, and altered libido. More severe reactions include leucopenia and jaundice. Assay: Dissolve the sample in anhydrous acetic acid and acetic anhydride. Titrate with 0.1 M perchloric acid and determine the endpoint potentiometrically. Storage: It should be stored in well-closed airtight containers and protected from light. Dose: For anxiety, alcohol withdrawal syndrome—Adult: 15–30 mg 3 or 4 times/day. Elderly or debilitated patients: Initially, 10 mg thrice/day; increase up to 10–20 mg 3 or 4 times/day, if necessary. For insomnia associated with anxiety: Adult: 15–25 mg given 1 h before bedtime. Up to 50 mg may be occasionally required. Dosage forms: Oxazepam tablets B.P. Synthesis Synthesis Properties and uses: It is a white or almost white crystalline powder, which is insoluble in water, sparingly soluble in ethanol, sparingly soluble in methylene chloride. It shows polymorphism. It is used as sedative and hypnotic. It has much more polarity than diazepam, for example, metabolism is relatively uncomplicated, and the duration of action is short. Assay: Dissolve the sample in dimethylformamide. Titrate with 0.1 M tetrabutylammonium hydroxide and determine the endpoint potentiometrically. Dose: For Anxiety—Adult: Usual dose 1–6 mg daily in 2 or 3 divided doses. Largest dose taken at night. Up to 10 mg daily has been used. Elderly: Initial dose of 1–2 mg daily in 2 or 3 divided doses. Adjust as necessary. For insomnia associated with anxiety; Adult: 1–4 mg as a single dose given at bedtime. Elderly: 1–2 mg initially, adjust as needed. Dosage forms: Lorazepam injection B.P., Lorazepam tablets B.P. Synthesis Uses: It is used as a sedative and hypnotic. Synthesis: Estazolam, Triazolam, Alprazolam Estazolam R = H, R1 = H Triazolam R = Cl, R1 = CH3 Alprazolam R = H, R1 = CH3 Metabolism of Alprazolam: The methyl group of this drug is metabolized by oxidation reaction to methyl alcohol and conjugation reaction takes place. Estazolam: A triazolobenzodiazepine derivative that structurally resembles alprazolam and triazolam. It is useful in the management of insomnia. It has an intermediate half-life and the peak plasma concentration reaches 1.5 to 2 h after oral administration. It undergoes hepatic microsomal oxidation and has an elimination half-life 2 to 15 h. It causes more serious toxicity and withdrawal reactions than other benzodiazepines. Dose: The usual required dose is 2 mg. Triazolam (Halcion): It is freely soluble in water and the metabolites, has little hypnotic action and is useful in the management of insomnia. The common adverse effects include drowsiness, dizziness, and headache. Dose: The usual oral dose for an adult is 0.25–0.5 mg at bedtime. Alprazolam: It is a white crystalline powder, practically insoluble in water, freely soluble in methylene chloride sparingly soluble in acetone and in alcohol. It shows polymorphism. It is useful in the short-term management of insomnia characterized by difficulty in falling asleep, frequent nocturnal awakenings, and early morning awakenings. The duration of action is short and the drug is a highly potent anxiolytic in doses of milligram. Assay of Alprazolam: Dissolve the sample in a mixture of 3 volumes of anhydrous acetic acid and 2 volumes of acetic anhydride. Titrate with 0.1 M perchloric acid and determine the endpoint potentiometrically. Titrate to the second point of inflexion. Storage: It should be stored in well-closed airtight containers and protected from light.
1. Diazepam (Calmpose, Valium, Diazep)


2. Nitrazepam (Dormin, Nipam, Nitorsun)


3. Oxazepam (Serepax)


4. Lorazepam (Larposa, Lorvan)


5. Chlorazepate


6. Triazolobenzodiazepines


Properties and uses
Related Topics
TH 2019 - 2027 pharmacy180.com; Developed by Therithal info.