Antineoplastic agents are classified as follows: I. Alkylating agents II. Antimetabolites III. Antibiotics IV. Plant products V. Enzymes VI. Hormones VII. Immuno therapy VIII. Monoclonal antibodies IX. Radio-therapeutic agents X. Cyto-protective agents XI. Miscellaneous.
CLASSIFICATION
Antineoplastic
agents are classified as follows:
I. Alkylating agents
II. Antimetabolites
III. Antibiotics
IV. Plant products
V. Enzymes
VI. Hormones
VII. Immuno therapy
VIII. Monoclonal
antibodies
IX. Radio-therapeutic
agents
X. Cyto-protective agents
XI. Miscellaneous.
a. Nitrogen mustards

Chlorambucil

Estramustine

Chloroquine
nitrogen mustard
Busulfan
CH3SO2O(CH2)4OSO2CH3
c. Nitrosoureas

d. Aziridines

e. Altretamine

Triethylene melamine

f. Methylhydrazines
Procarbazine

Dacarbazine

a. Pyrimdine analogues

b. Purine Analogues

c. Folic acid analogues

R = H
(Aminopterin)
R = CH3
(Methotrexate)

a. Anthracyclines

Valrubicin

b. Bleomycins

c. Mitomycins
Mitomycin C

Dactinomycin C or Actinomycin D

Plicamycin or Mithramycin

a. Vinca alkaloids
Vinorelbine

Vincristine,
Vinblastine

Vincristine
R = CHO
Vinblastine
R = CH3
b. Camptothecin Derivatives

c. Epipodophyllo toxins

d. Taxol derivatives

Examples—L-asparaginase,
Pegaspargase
a. Estorgenic derivatives

(i) 17-β-Estradiol
R= H
(ii) Ethinyl
estradiol 
Diethylstilbosterol (nonsteroidal drug)

b. Progestine derivatives

Progesterone

Progestins
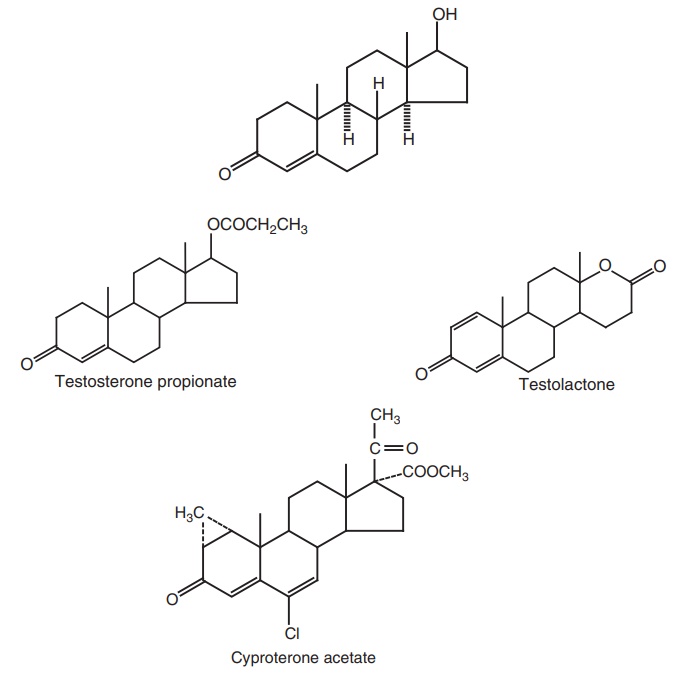
c. Testosterone derivatives
Testosterone

d. Steroidal anti-inflammatory agents
Prednisone

Flutamide (Nonsteroidal antiandrogen)

d. Miscellaneous agents
Mitotane

Tamoxifen


Pipobroman

Aminoglutethimide

Interferon α-2a;
Interferon-2b; Interferon α-n3; Aldesleukin,
Diftitox, Denileukin; and Bucillus
calmette-Guerin (BCG)
Rituximab,
Gemtuzumab, Ozogamicin
Chromic
phosphate P-32; Sodium phosphate P-32; Sodium iodide I-131; Strontium-89
chloride; Samarium Sm 153 lexidronam
Mesna,
Amifostine, Dexrazoxane

TH 2019 - 2027 pharmacy180.com; Developed by Therithal info.