Narcotic Analgesics - Meperidine analogues - Synthesis and Drug Profile - a. Pethidine hydrochloride (Meperidine HCl, Denerol, Mepadin) b. Fentanyl Citrate (Durogesic) c. Diphenoxylate hydrochloride d. Anileridine e. Ketobemidone f. Loperamide g. Alphaprodine h. Lofentanil - Structure, Properties, uses, Synthesis, Assay, Storage, Dosage forms, Dose | Synthesis and Drug Profile |
SYNTHESIS AND DRUG PROFILE
Meperidine analogues
Metabolism: Meperidine (Pethidine) analogues results in rapid metabolism. Esterase cleaves the ester bond to leave the inactive 4-carboxylate derivatives. They also undergo N-demethylation to give normeperidine.

Synthesis
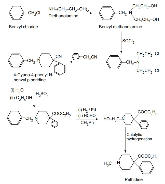
Route I. From: Benzyl chloride

Route II.From: Phenyl acetonitrile

Properties and uses: It is a white crystalline powder, soluble in water, and freely soluble in alcohol. It may be used for the relief of a variety of moderate to severe pain, including the pain of labour and postoperative pain. Pethidine has atropine-like action on smooth muscle. It is normally used to induce both sedation and analgesia simultaneously.
Assay: Dissolve the substance in alcohol and add 0.01 M hydrochloric acid. Titrate with 0.1 M sodium hydroxide and determine the end point potentiometrically.
Storage: It should be stored in well-closed airtight containers and protected from light.
Dose: Usual dose is 50 to 100 mg I.M. Occassionally given orally.
Dosage forms: Pethidine HCl injection I.P. Pethidine HCl tablets I.P. Pethidine injection B.P., Pethidine tablets B.P.
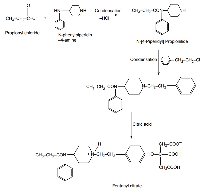
b. Fentanyl Citrate (Durogesic)

Properties and uses: It is a white or almost white powder soluble in water, freely soluble in methanol, and sparingly soluble in alcohol. Fentanyl is related to pethidine and also to basic anilides with analgesic properties, and is characterized by high potency, rapid onset, and short duration of action. It is a potent narcotic
Synthesis

analgesic employed for the arrest of pain and it may also be employed as an adjuvant for all such drugs mostly used for regional and general anaesthesia.
Assay: Dissolve the substance in a mixture of 1 volume of anhydrous acetic acid and 7 volumes of methyl ethyl ketone. Titrate with 0.1 M perchloric acid using naphtholbenzein solution as indicator.
Storage: It should be stored in well-closed airtight container and protected from light.
Dose: By I.M. in preoperative medication 0.05 to 0.1 mg, 30 to 60 min before surgical treatment, for rapid analgesic action, 0.05 to 0.1 mg by IV.
Dosage forms: Fentanyl injection B.P.

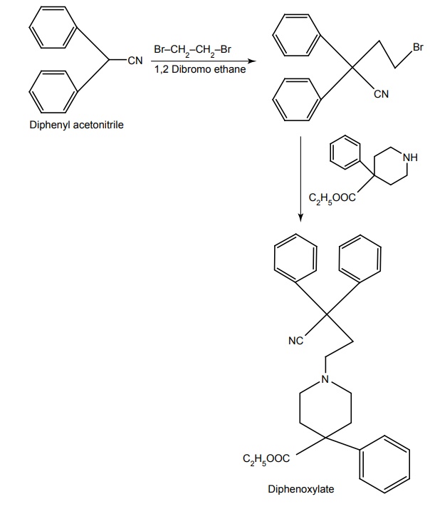
Properties and uses: It is a white or almost white crystalline powder, sparingly soluble in alcohol, very slightly soluble in water, freely soluble in methylene chloride. It is a synthetic analogue of pethidine with some analgesic activity, but is mostly used in the treatment of diarrhoea associated with gastroenteritis, irritable bowel, acute infections, hypermotility, ulcerative colitis, and sometimes even in food poisoning.
Assay: Dissolve the sample in alcohol and add 0.01M hydrochloric acid. Perform potentiometric titration, using 0.1 M ethanolic sodium hydroxide.
Storage: It should be stored in well-closed airtight containers and protected from light.
Synthesis
Route I. From: Ethyl-4-phenyl piperidine-4-carboxylate

Route II. From: Diphenylacetonitrile


Properties and uses: It is a narcotic analgesic, having related chemical structure to that of pethidine. Anileridine is more active than merperidine and has the same uses and limitations.
Dose: The usual oral dose is 25 mg every 6 h.
Synthesis
Route I. From: 4-Phenyl piperidin-4-ethyl carboxylate

Route II. From: Benzyl cyanide or 2-Phenylacetonitrile


Synthesis

Properties and uses: It is a white or almost white crystalline powder, soluble in alcohol, slightly soluble in methylene chloride, and freely soluble in water. Used as an opioid receptor agonist and analgesic.
Assay: Dissolve the sample in a mixture of 0.01 M hydrochloric acid and 50 ml of alcohol. Perform potentiometric titration using 0.1M sodium hydroxide.

Properties and uses: It is a white or almost white powder, slightly soluble in water, freely soluble in alcohol and methanol. It is used as a safe and effective opioid derivative with pheripheral μ opioid and weak anticholinergic property.
Assay: Dissolve the sample in alcohol and add 0.01 M hydrochloric acid, perform potentiometric titration, using 0.1 M sodium hydroxide.
Storage: It should be stored in well-closed airtight containers and protected from light.
Dosage forms: Loperamide capsules B.P.

Uses: It is an effective analgesic similar to meperidine.

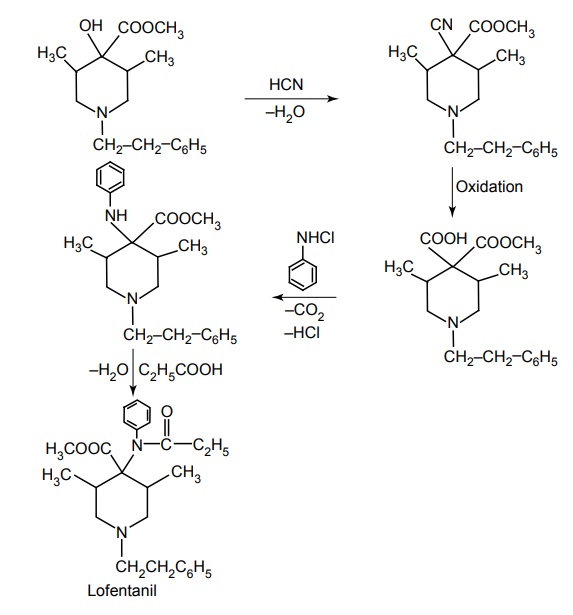
Synthesis

Related Topics
TH v2 2019 - 2026 pharmacy180.com; Developed by Therithal info.