Second-generation cephalosporin : i. Cefaclor ii. Cefuroxime (Zinacef, Kefurox) iii. Cefoxitin iv. Cefamandole (Mandol, Kefadol) v. Cefonicid

Properties and uses: Cefaclor is a white or slightly yellow powder,
slightly soluble in water, practically insoluble in methanol and methylene
chloride. It has chloro group at C-3 position, and hence, stable in acid and
achieves sufficient oral absorption. Used in the treatment of upper respiratory
tract infections caused by Streptococcus
pneumoniae and Haemophilus influenzae.
Dose: The dose orally for adults is 250–500 mg every 8 h.
Assay: It is assayed by adopting liquid chromatography technique.
Dosage forms: Cefaclor capsules B.P., Cefaclor oral suspension B.P.,
Prolonged-release Cefaclor tablets B.P.
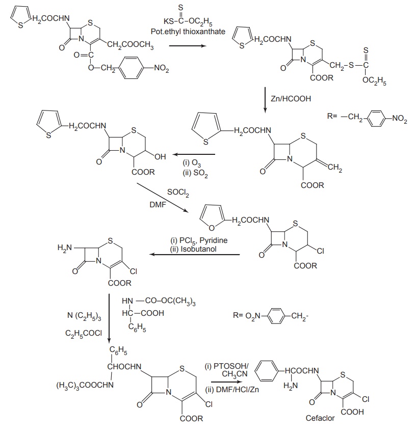
Synthesis


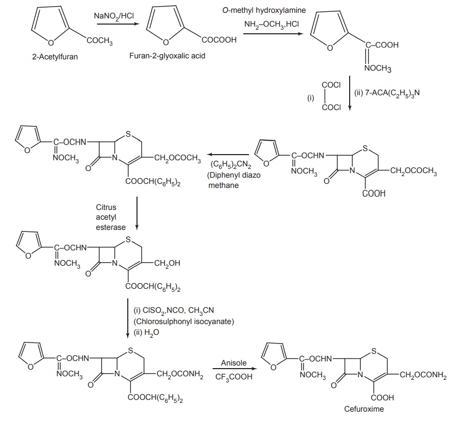
Synthesis

Properties and uses: Cefiroxime sodium is a white hygroscopic powder,
freely soluble in water, and very slightly soluble in ethanol. It has excellent
activity against all gonococci,
hence, is used to treat gonorrhoea. It may be used to treat lower respiratory
tract infections caused by H. influenza and
Para influenzae, Klebsiella spp. E.coli, Staphylococcus pneumoniae, and pyrogens.
Assay: It is assayed by adopting liquid chromatography technique.
Dose: The dose is 1.5 g (IM) as a single dose and also available as
powder for injection in strengths of 0.75 and 1.5 g.
Dosage forms: Cefuroxime sodium injection I.P., Cefuroxime injection B.P.

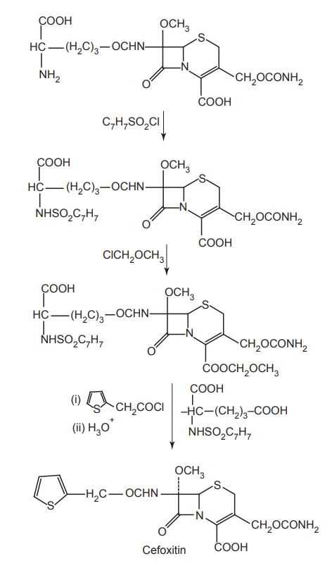
Synthesis

Properties and uses: Cefoxitin sodium is a white hygroscopic powder,
soluble in water and sparingly soluble in alcohol. It is not the drug of choice
for any infection, but it is an alternative drug for intra-abdominal
infections, colorectal surgery, appendectomy, and ruptured viscus because it is
active against most enteric anaerobes, including Bacteroides fragilis. It is approved for use in the treatment of
bone and joint infections caused by Staphylococcus
aureus, gynecological and intra-abdominal infections by Bacteroides spp.
Assay: It is assayed by adopting liquid chromatography technique.
Dosage forms: Cefoxitin injection B.P.

Synthesis

Properties and uses: Cefamandole nafate is a white powder, soluble in
water, and sparingly soluble in methanol. It is the first compound of
second-generation cephalosporin marketed in the United States. Cefamandole
nafate is very unstable in solution and hydrolyzes rapidly to release
cefamandole and formate. There is no loss of potency; however, these solutions
are stored for 24 h at room temperature or up to 96 h by refrigeration.
Assay: It is assayed by adopting liquid chromatography technique.
Dose: IV dose is 0.5–2 g every 4 to 6 h, also available as injection
in strengh of 0.5 and 1 mg/10ml.

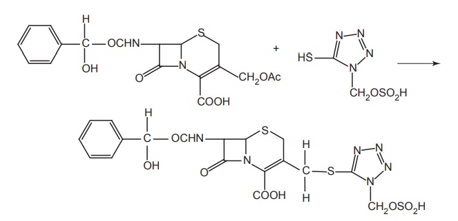
Synthesis

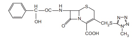
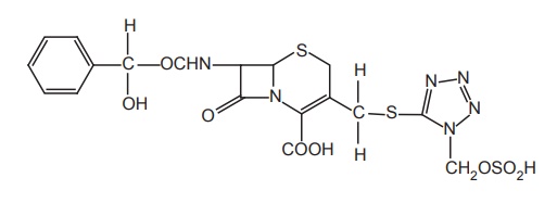
Properties and uses: Cefonicid is a second-generation cephalosporin
that is structurally similar to cefamandole, except that it contains a methane
sulphonic acid group attached to the N-1 position of the tetrazole ring. Used
in the treatment of bacterial infections.
Related Topics
TH 2019 - 2027 pharmacy180.com; Developed by Therithal info.