Alkylating agents - a. Nitrogen mustards: Mechlorethamine (Mustargen, Nitrogen mustard, Mustine), Chlorambucil (Leukaran), Ifosfamide (Holoxan), Cyclophosphamide (Cytoxan), Melphalan (Alkeran), Uracil Mustard b. Alkyl sulphones: Busulfan (mylearn) c. Nitrosourea : Carmustine, Lomustine and Semustine (Ceenu, Cinu) d. Aziridines : Thiotepa, Benzotepa, Altretamine e. Methyl hydrazines : Procarbazine, Decarbazine
Step I: Intramoleular cyclization

Step II: Nucleophilic attack of unstable aziridine

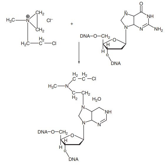
Mode of action: These compounds produce highly reactive carbonium ion intermediates that transfer alkyl group to cellular macromolecules by forming covalent bonds. It alkylates the 7th nitrogen atom of guanine residue in DNA, and results in cross-linking or abnormal base pairing. Initially, one of the 2-chloro ethyl side chain undergoes a first-order (SN1) intramolecular cyclization with the release of Cl– and formation of highly reactive ethyleniminium intermediate (Step I) By this reaction, tertiary amine is converted to an unstable quaternary ammonium compound, which react by forming carbonium ion. This precedes a second-order reaction (SN2) nucleophilic substitution and alkylates the 7th N atom in guanine (Step II).

Synthesis

Properties and uses: It is a white crystalline hygroscopic powder, soluble in water and in alcohol. It is used in Hodgkin’s disease in combination with vincristine, procarbazine, and prednisone. Most serious toxic reaction is bone marrow depression, which results in leukopenic and thrombocytopenia.
Dose: Single doses of 400 μg per kg body weight or a course of 4 daily doses of 100 μg per kg is normally administered by intravenous (IV) injection in a strength of 1 mg per ml in sodium chloride injection.

Metabolism: This drug is active intact and also undergoes β-oxidation to provide an active phenylacetic acid mustard metabolite, which is responsible for some of the observed antineoplastic activity.

Synthesis

Properties and uses: Chlorambucil is a white crystalline powder, practically insoluble in water, and soluble in acetone and alcohol. It is used in the treatment of chronic lymphocytic leukaemia, macroglobulinaemia, lymphosarcoma, and Hodgkin’s disease.
Assay: Dissolve the sample in acetone, add water, and titrate with 0.1 M sodium hydroxide, using phenolphthalein as indicator.
Dose: Usual oral doses are 100–200 μg per kg body weight daily (usually 4–10 mg as a single daily dose) for 4–8 weeks.
Dosage forms: Chlorambucil tablets I.P., B.P.

Properties and uses: Ifosfamide is a white crystalline hygroscopic powder, soluble in water and methylene chloride. It is used for testicular cancer, leukaemia, ovarian, and breast carcinoma.
Assay: It is assayed by adopting liquid chromatography technique.
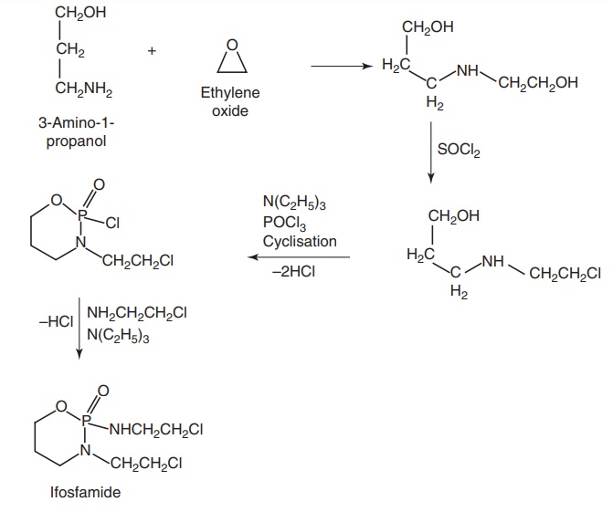
Synthesis

Dose: For the treatment of solid tumours of cervix, lungs, thymus, testes, and ovary; sarcoma; lymphoma of adults different licensed dosage regimens are available. Regimen 1: 8–12 g per m2 divided over 3–5 days, repeat course every 2–4 weeks. Regimen 2: 6 g per m2 divided over 5 days, repeat course every 3 weeks. Regimen 3: 5–6 g per m2 (maximum, 10 g), given as a single 24 h infusion, repeat course every 3–4 weeks.

Metabolism: The initial metabolic step is mediated primarily by CYP2B6 and involves hydroxylation of the oxazaphosphorine ring to generate a cabinolamine. CYP3A4 also catalyzes an inactivating N-dechloroethylation reaction, which yields nephrotoxic and neurotoxic chloroacetaldehyde.

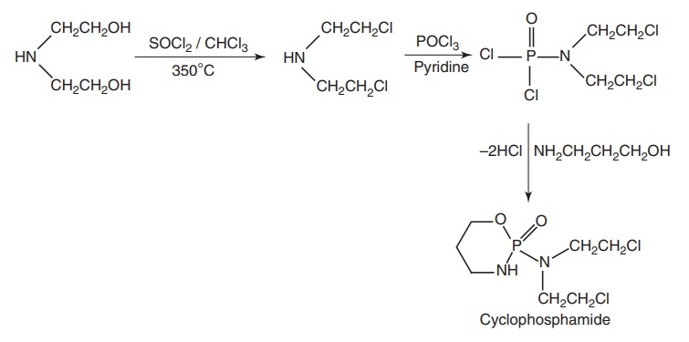
Synthesis

Properties and uses: Cyclophosphamide is a white crystalline powder, soluble in water and alcohol. It is one among the widely used anticancer drugs and it is superior to many alkylating agents. It is active against multiple myeloma chronic lymphocytic leukaemias, acute leukaemia of children, Hodgkin’s disease, breast, ovarian cancer, and lung cancer.
Assay: Dissolve the sample in sodium hydroxide solution in ethylene glycol, boil under refl ux, and rinse with water, add 2-propanol, dilute nitric acid, 0.1 M silver nitrate, and ferric ammonium sulphate solution and titrate with 0.1 M ammonium thiocyanate.
Dose: Initial adult dose of 40–50 mg per kg given intravenously in divided doses over 2–5 days and for children 2–8 mg per kg daily through IV injection.
Dosage forms: Cyclophosphamide injection I.P., B.P., Cyclophosphamide tablets I.P., B.P.

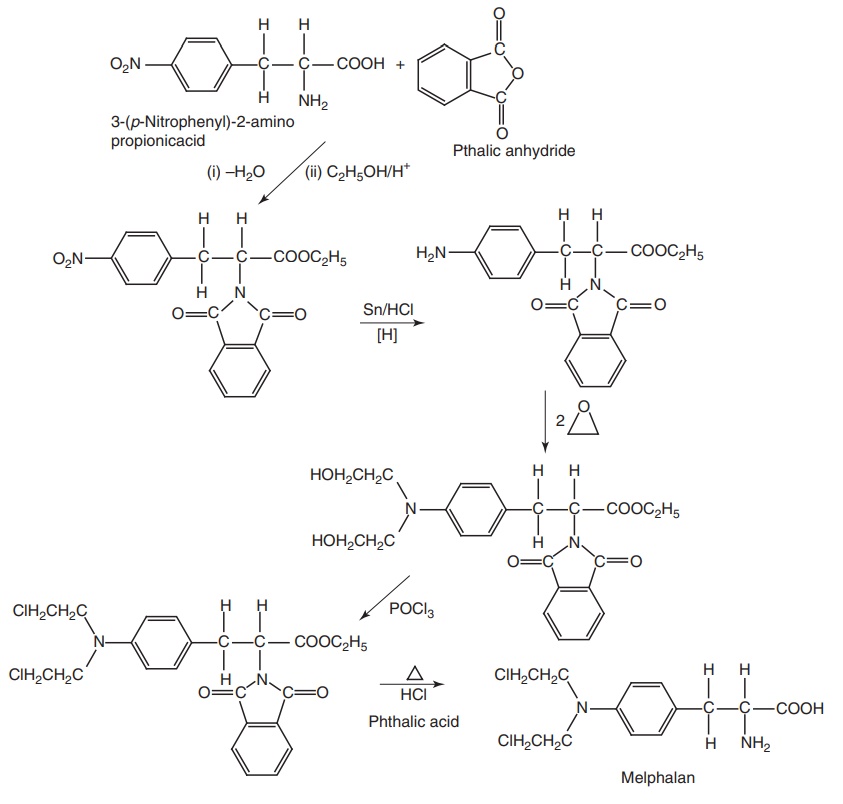
Synthesis

Properties and uses: Melphalan is a white powder, practically insoluble in water and ether, slightly soluble in methanol and dissolves in dilute mineral acids. Melphalan is active against multiple myeloma, breast, testicular, and ovarian carcinoma.
Assay: To the sample add 20% w/v solution of potassium hydroxide, heat on a water bath, add water and nitric acid, cool, and titrate with 0.1 M silver nitrate. Determine the end point potentiometrically.
Dose: Dose orally is 150 μg per kg body weight daily for 4–7 days combined with prednisone 40–60 mg daily; 250 mg per kg daily for 4–5 days; or 6 mg daily by 2–3 weeks.
Dosage forms: Melphalan injection I.P., B.P., Melphalan tablets I.P., B.P.
Estramustine

Synthesis

Metabolism: The resonance-stabilized mustard-like antineoplastic agent utilizes an oestradiol carrier to deliver to the steroid dependent prostrate tissue selectively, and its use is limited to the palliative treatment of progressive prostrate cancer. In estramustine sodium phosphate, the essential 17 β-hydroxy group has been esterified with phosphoric acid, and the C-3 phenol has been carbamylated. The body still, however, transports the basic steroidal pharmacphore into the cells. The ionized sodium phosphate ester of the active 17 β-hydroxy group makes the compound water-soluble and to be able to distribute it in the blood. The ester is readily cleaved during absorption to provide the active 17 β-hydroxy group.

Properties and Uses: Estramustine sodium phosphate is a white powder, soluble in water and in methanol, and very slightly soluble in absolute ethanol. It is an alkylating agent, which is approved for metastatic/progressive cancer of the prostate, but is also active for advanced breast cancer. It causes nausea and vomiting, delayed bone-marrow depression, mild gynecomastia, thrombophlobitis, occasional myocardial infarction, hypertension, hypoglycaemia, and hepatotoxicity.
Assay: To the sample add 1M sodium hydroxide and boil under a reflux condenser. Cool and add 0.1 M silver nitrate and nitric acid dilute with water. Filter and titrate the excess of silver nitrate with 0.1 M ammonium thiocyanate using ammonium iron (III) sulphate as indicator.

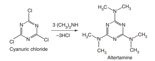
Synthesis

Properties and uses: It is an off-white crystalline powder, odourless, and soluble in water or alcohol. It is used for the treatment of prostrate cancer.
CH3SO2O(CH2)4OSO2CH3
1,4-Bis(methanesulphonyloxy) butane
Synthesis

Metabolism: Busulfan undergoes sulphur stripping due to interaction with thiol compounds such as glutathione or cysteine and leads to loss of two equivalents of methosulphonic acid and formation of cyclic sulphonium intermediates, which is then converted into a metabolite 3-hydroxythiolane-1, 1-dioxide.
Properties and uses: Busulfan is a white crystalline powder, very slightly soluble in water and alcohol, soluble in acetone and acetonitrile. It is used in the treatment of chronic granulocytic leukaemia.
Assay: To the sample add water, boil under a reflux condenser, cool and titrate with 0.1 M sodium hydroxide using phenolphthalein as indicator until a pink colour is obtained.
Dose: For granulocytic leukaemia, the daily oral dose is 60 μg per kg body weight, up to a maximum single daily dose of 4 mg, and to be continued till the white cell count falls between 15,000 and 25,000 per mm3
Dosage forms: Busulfan tablets I.P., B.P.

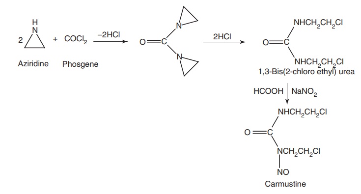
Properties and uses: Carmustine is a yellowish granular powder, very slightly soluble in water, very soluble in methylene chloride, and soluble in ethanol. It is used against brain tumours and leukaemia, which have metastasized to the brain, and these multiple states respond to a combination of carmustine and prednisone.
Synthesis

Assay: Dissolve the sample in ethanol, dilute with water, and measure the absorbance at the maxima at 230 nm using ultraviolet spectrophotometer.

Synthesis

Properties and uses: Lomustine is a yellow crystalline powder, practically insoluble in water, soluble in acetone, methylene chloride, and alcohol. It is used against both primary and metastatic brain tumours and as secondary therapy in relapsed Hodgkin’s disease.
Assay: Dissolve the sample in alcohol, add potassium hydroxide, and boil under a reflux condenser. Add water and nitric acid, cool and titrate with 0.1 M silver nitrate. Determine the end point potentiometrically. Perform a blank titration.
Dose: Usual dose is 130 mg/m2 orally every 6 weeks.
Dosage forms: Lomustine capsules B.P.

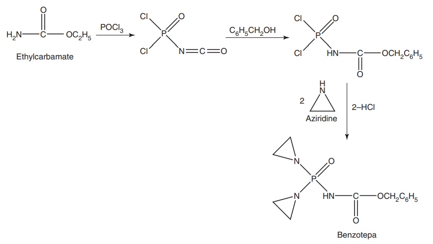
Synthesis

Metabolism: Thiotepa undergoes oxidative desulphuration forming an active cytotoxic metabolite known as Triethylene phosphoramide (TEPA). Aziridine metabolism occurs, with liberation of ethanolamine.
Properties and uses: Thiotepa exists as white crystalline flakes, freely soluble in water, chloroform, and ethanol. It is used as cytotoxic alkylating agent.
Assay: Transfer the sample to an iodine flask with the aid of 20% w/v solution of sodium thiosulphate and titrate immediately with 0.1 M hydrochloric acid, using methyl orange as indicator, until a faint red colour persists for 10 sec. Stopper the flask, allow to stand for 30 min, and titrate with 0.1 M sodium hydroxide using phenolphthalein as indicator. Subtract the volume of 0.1 M sodium hydroxide used from the volume of 0.1 M hydrochloric acid used.
Dosage forms: Thiotepa injection I.P., B.P.

Synthesis


Synthesis

Synthesis
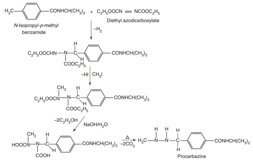
Route-I. From: N-Isopropyl-p-methyl benzamide

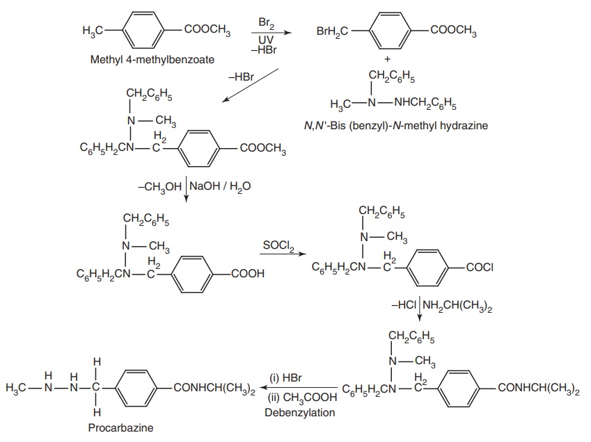
Route-II. From: Methyl-4-methylbenzoate

Metabolism: It is extensively metabolized in liver and 70% of the administered dose is excreted in the urine as N-isopropylterephthalamic acid.

Properties and uses: It exists as white to pale yellow crystalline powder with a slight odour and a bitter taste, soluble in water or alcohol, slightly soluble in chloroform, but insoluble in ether. Solutions are acid to litmus, stable in light, slowly oxidized in air, and stable at room temperature (in the presence of oxygen, oxidation is accelerated by increased temperature).

Synthesis

Metabolism: Approximately 40% of the drug is excreted unchanged, but both the 5-amino imidazole-4carboxamine and the carboxylic acid are seen in urine as metabolites.

Properties and uses: It is used as a cytotoxic agent, which is colourless to ivory coloured microcrystalline powder, soluble in water or alcohol.
TH 2019 - 2027 pharmacy180.com; Developed by Therithal info.