Benzpyrazine derivatives: Clofazimine (Lamprene), Thalidomide (Thaloda, Thycad, Thalomid)

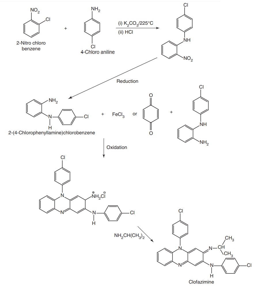
Synthesis

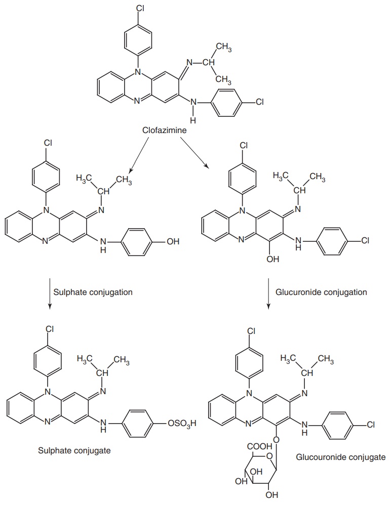
Metabolism: It is thought to undergo hydroxylic dehalogenation on the
4-chloroaniline, followed by sulphate conjugation. It also undergoes glucuronic
acid conjugation.

Properties and uses: Clofazimine is a reddish-brown fine powder,
practically insoluble in water, soluble in methylene chloride, and very
slightly soluble in ethanol. It is used as antileprotic drug.
Assay: Dissolve the sample in methylene chloride, add acetone and
anhydrous acetic acid and titrate with
0.1 M
perchloric acid. Determine the end point potentiometrically.
Dose: The dose orally is 100 mg daily.
Dosage forms : Clofazimine capsules I.P., B.P.

Synthesis

Properties and uses: It is the drug of choice for Erythema nodosum leprosum. It must not
be used in women during pregnancy because of its teratogenic activity.
Dose: Doses of 100–300 mg per day are effective.
Related Topics
TH v2 2019 - 2026 pharmacy180.com; Developed by Therithal info.