Antianginals : Cardiovascular agents : i. Digoxin ii. Digitoxin iii. Deslanoside iv. Ouabain - Synthesis and Drug Profile
SYNTHESIS AND DRUG PROFILE
Cardiovascular agents
Cardiovascular agents have their major pharmacological action in the ability to alter the cardiovascular function, cardiac glycosides, and certain other agents have positive inotropic effects. They are useful in the treatment of congestive heart failure. Several cardiac glycosides have been studied, which include glycosides of digitalis, squill, and strophanthus. Among all of them, the most predominant one is digitalis. Digitalis lanata and D. purpurea are the richest sources of cardiac glycoside. On hydrolysis (acid or alkali or enzymatic) they yield the corresponding steroidal aglycone and glycone (sugar). The cardiac activity resides in the aglycone portion, but the sugar moiety provides favourable solubility and distribution characteristics.
Uses: Cardiac glycosides are used to slow down the heart in the artrial arrhythmias, particularly artrial fibrillation. These drugs are also given in the case of congestive heart failure.

Properties and uses: It is a white or almost white powder or colourless crystals. It is freely soluble in a mixture of methanol and methylene chloride, slightly soluble in ethanol, but insoluble in water. It is used in the treatment of congestive heart failure with artrial fibrillation.
Assay: It is assayed by adopting liquid chromatography technique.
Storage: It should be stored in well-closed airtight containers and protected from light.
Dosage forms: Paediatric digoxin oral solution I.P., B.P., Digoxin tablets I.P., B.P., Digoxin injection I.P., B.P., Paediatric Digoxin Injection B.P.

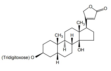
Metabolism: Digitoxin is not extensively metabolized. It is transported from the intestinal enterocyte along with epithelium into the intestinal lumen by p-glycoprotein, which is also expressed in the kidney and liver. Digitoxin is essentially metabolized by the liver to form a variety of metabolites, including (digitoxose) 2-digitoxigenin, (digitoxose) 1-digitoxigenin, and (digitoxose) 1-digitoxigenin.
Properties and uses: It is a white or almost white powder, which is freely soluble in a mixture of methanol and methylene chloride, slightly soluble in alcohol and methanol, but insoluble in water. Digitoxin has action and uses similar to those of digoxin.
Assay: Dissolve the sample in alcohol. Dilute with alcohol and prepare a reference solution in the same manner, using digitoxin. To 5.0 ml of each solution add alkaline sodium picrate solution, allow to remain protected from bright light for 30 min and measure the absorbance of each solution at the maximum of 495 nm, using as the compensation liquid a mixture of 5.0 ml of alcohol and 3.0 ml of alkaline sodium picrate solution prepared at the same time. Calculate the content of Digitoxin from the absorbances measured and the concentrations of the solutions.
Storage: It should be stored in well-closed airtight container and protected from light.
Dosage forms: Digitoxin tablets B.P.

Properties and uses: It is a derivative of Lanatoside-C. It has action and uses similar to those of digoxin.

Uses: It has action and uses similar to those of digoxin.
Related Topics
TH 2019 - 2027 pharmacy180.com; Developed by Therithal info.