I. Sulphones II. Dibenz pyrazine derivatives III. Plant drug
Antileprotic Drugs
CLASSIFICATION
Antileprotic
drugs are classified into the following:
I. Sulphones
II. Benzpyrazine
derivatives: Clofazimine
III. Plant drugs
Dapsone (Diaminodiphenyl sulphone,
DDS)

Acedapsone

Solapsone sodium

Sulfoxone sodium

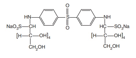
Gluco sulfone sodium

Clofazimine (Lamprene)

i. Chaulmaogric acid

ii. Hydrocapric acid

TH v2 2019 - 2026 pharmacy180.com; Developed by Therithal info.