Classification According to its Mechanism of Action, Classification According to the Enzyme Inhibiton, Classification According to the Treatment Protocol
CLASSIFICATION
Antiviral
drugs may be classified on the basis of its mechanism of action as follows:
a. Purine nucleosides and nucleotides


b. Pyrimidine nucleosides and nucleotides

c. Thiosemicarbazones

d. Adamantane amines




a. Saquinavir

b. Indinavir

c. Ritonavir

d. Nelfinavir


According to
the enzyme inhibition, antiviral agents are classified as follows.
i.DNA polymerase inhibitors: Idoxuridine, Trifluridine, Vidarabine
ii. RT
inhibitors:

According to
the treatment protocol antiviral agents are classified as follows:
Adamantane
derivatives: Amantadine, Rimantadine
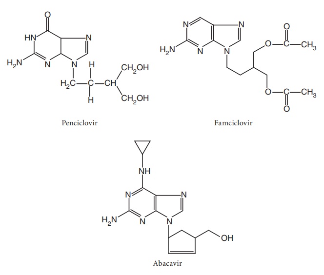
a. Purine nucleotides: Acyclovir, Ganciclovir,
Vidarabine.
b.
Pyrimidine
nucleosides: Trifluouridine, Idoxuridine.
c.
Phosphorus
derivatives: Foscarnet sodium.
a.
RT inhibition.
1.
Purine
derivatives: Didanosine.
2.
Pyrimidine
derivative: Zidovudine, Stavudine.
3.
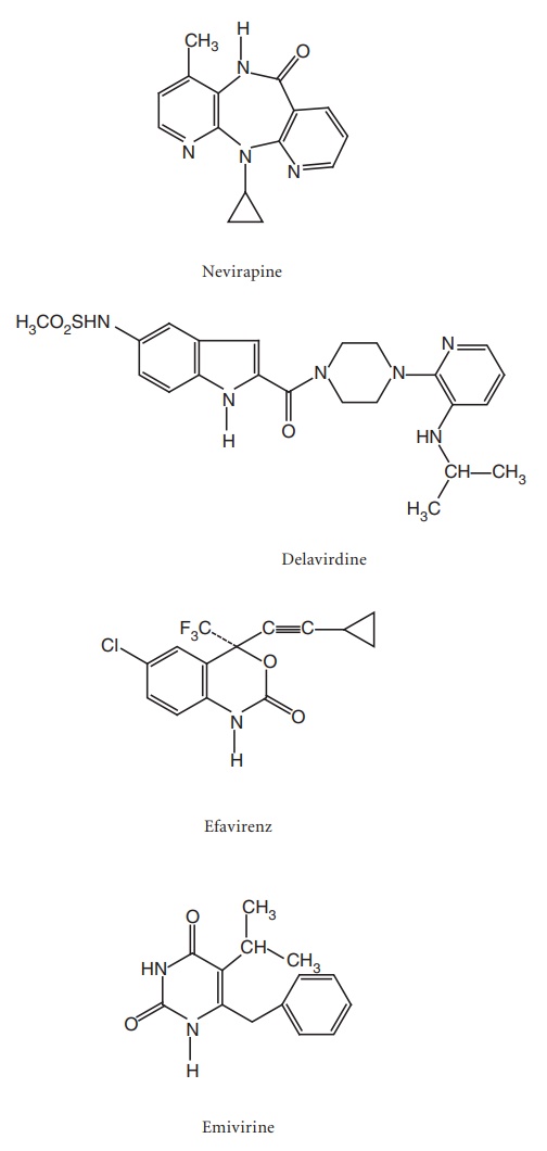
Non-nucleosides:
Nevirapine, Delaviridine, Efavirenz.
b.
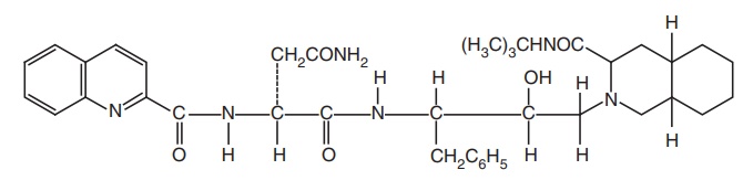
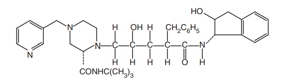
Protease
inhibition: Saquinavir, Indinavir, Ritonavir, Nelfinavir, Amprenavir, Lopinavir.
c.
Integration
inhibition: Zintevir.
TH v2 2019 - 2026 pharmacy180.com; Developed by Therithal info.