I. First-generation cephalosporins II. Second-generation cephalosporins III. Third-generation cephalosporins IV. Fourth-generation cephalosporins V. Micellaneous
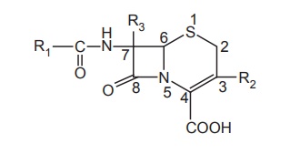
Cephalosporins
are classified on the basis of their chemical structure, clinical pharmacology,
antibacterial spectrum, or penicillinase resistance.
a.
Orally
administered: cephalexin, cephradine, and cefaclor
b.
Parentrally
administered: cephalothin, cephapirin, cephacetrile, and cefazedone. These
agents are sensitivity to β-lactamase
c.
Resistant to
β-lactamase and parentrally administered: cefuroxime, cefamandole, cefoxitin
d.
Metabolically
unstable: cephalothin and cephapirin
Clinically used cephalosporins

These drugs
have the highest activity against gram-positive bacteria and the lowest
activity against gramnegative bacteria (Table 4.1)
These drugs
are more active against gram-negative bacteria and less active against gram-positive
bacteria than first-generation members (Table 4.2).
These drugs
are less active than first-generation drugs against gram-positive organisms, but
have a muchexpanded spectrum of activity against gram-negative organisms (Table
4.3).


Moxalactam

IV. Fourth-generation cephalosporins
Cefepime and
cefpirome are new fourth-generation parenteral cephalosporins with a spectrum
of activity which makes them suitable for the treatment of infections caused by
a wide variety of bacteria (Table 4.4).

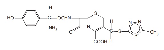
i. Cefaparole

ii. Cefoperazone

Related Topics
TH 2019 - 2027 pharmacy180.com; Developed by Therithal info.