Fourth-generation cephalosporin : Cefpirome (Ceform, Ominorm, Taform)
Cephalosporins - Synthesis and Drug Profile

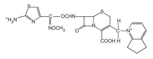
Synthesis

Properties and uses: Cefpirome is used to treat susceptible
infections, including urinary and respiratory tract infections, skin
infections, septicaemia, and infections in immuno-compromised patients.
Dose: Intravenous dose for adults as sulphate is 1–2 g every 12 h over
3–5 min or infuse over 20–30 min.
Related Topics
TH 2019 - 2027 pharmacy180.com; Developed by Therithal info.