The antibiotic lincomycin is obtained from Actinomycetes, Streptomyces, and Lincolnensis.
Lincomycins

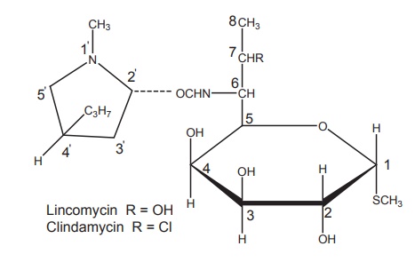
Properties and uses: The antibiotic lincomycin is obtained from Actinomycetes, Streptomyces, and Lincolnensis. The ability of lincomycin
to penetrate into bones, adds to its qualities and it gets promoted in the
chemotherapy of bone and joint infections by penicillin resistant strains of S. aureus. Variation of the substituents
on pyrrolidine portion and C-5 side chain affects the activity. Some of the
examples are as follows:
i.N-demethylation imparts activity against
gram-negative bacteria.
ii. Increase in
the chain length of the propyl substitutent at C-4 position in pyrrolidine
moiety up to n-hexyl increase in vivo activity.
iii. The
thiomethyl ether of α-thiolincosamide moiety is essential for activity.
iv. Structural
modifications at C-7 position, such as introduction of 7S chloro or 7R-OCH3,
change the physiochemical parameters of the drug (i.e. partition coefficient),
and thus, alter the activity spectrum and pharmacokinetic properties. The usual
side effects include skin rashes, nausea, vomiting, and diarrhoea.
Dosage forms: Lincomycin HCl capsules I.P.
Related Topics
TH v2 2019 - 2026 pharmacy180.com; Developed by Therithal info.