Non-nucleoside RT inhibitors : Non-nucleoside RT inhibitors - i. Nevirapine (Neve, Nevipan, Nevimune) ii. Delavirdine iii. Emivirine, α-Anilinophenylacetamide - Loviride, Pyridyl ethyl thiourea - Trovirdine, Benzoxazinones - Efavirenz (Efavir, Efferven, Evirenz)

Synthesis

Metabolism: Nevirapine is metabolized as a glucuronide conjugation to form
hydroxylated metabolites and excreted in urine.
Properties and uses: Nevirapine is a white powder, practically
insoluble in water, slightly soluble in methylene chloride and in methanol. It
is a HIV non-nucleoside RT inhibitor, used as an anti-HIV agent. It causes rash
fever, nausea, and headache.
Assay: It is assayed by adopting liquid chromatography technique.
Dose: The recommended dose for HIV infection combined with other
antiretrovirals in the case of adults is 200 mg once daily for the first 14
days; then, to increase to 200 mg two times/day if rash does not develop.
Interrupting the treatment for more than 7 days necessitates reintroduction of
the medicine at a lower dose for the first 14 days. For children 2 months to 8
years the dose is 4 mg /kg once daily for the first 14 days, and increase to 7
mg/kg twice a day, if no rash is present. In the case of patients 8–16 years,
the dose is 4 mg/kg once daily for 14 days followed by 4 mg/kg twice/day.
Maximum dose that can be administered is 400 mg daily. Interrupting the
treatment for more than 7 days necessitates reintroduction at a lower dose for
the first 14 days.

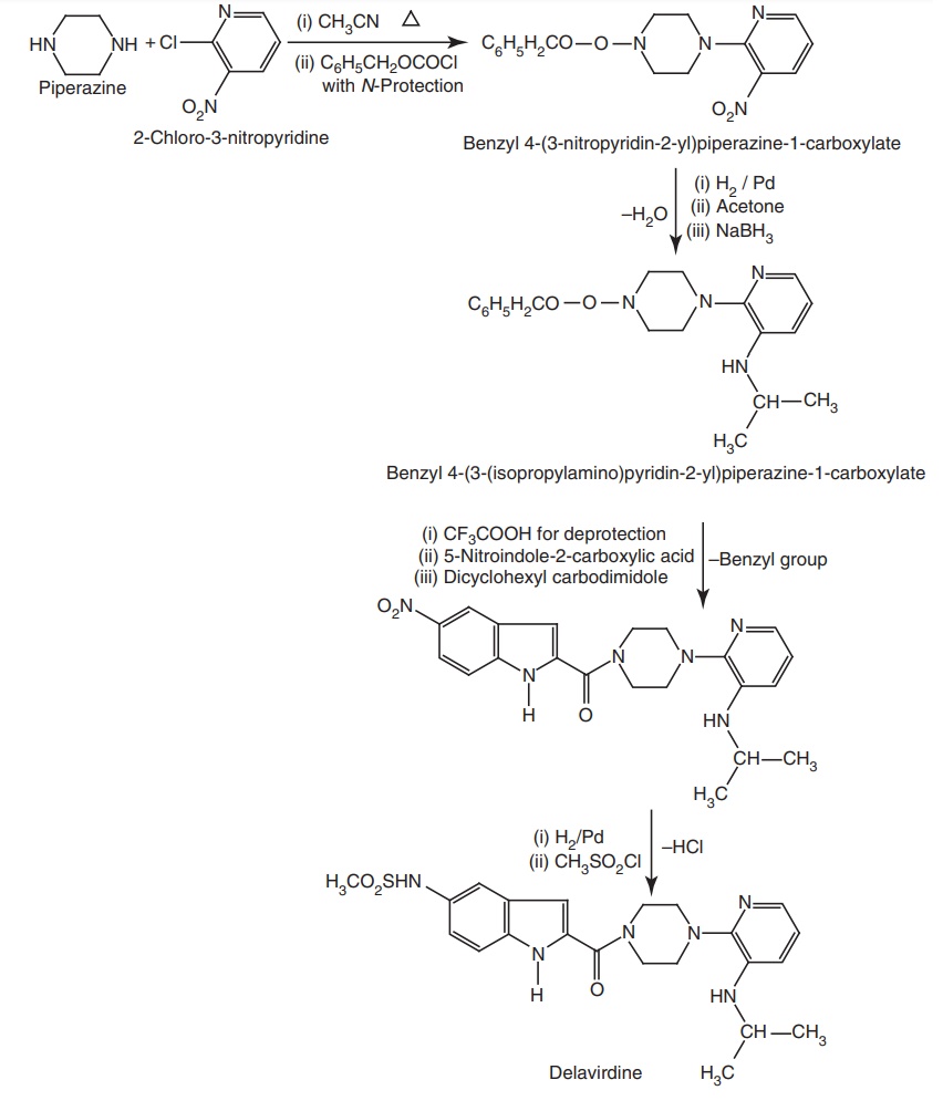
Synthesis

Metabolism: Delavirdine is metabolized to N-desisopropyl metabolite in the liver and the pharmacokinetics is nonlinear.

Synthesis


Synthesis


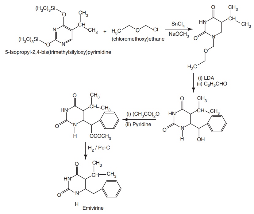
Synthesis:

Synthesis

Properties and uses: Efavirenz is a white to slightly pink crystalline
powder, soluble in dilute hydrochloric acid and in ethanol, but insoluble in
water. It is a non-nucleoside RT inhibitor used as a part of the combination
therapy for the treatment of HIV infection.
Dose: The recommended oral dose for HIV infection combined with other antiretrovirals,
in the case of adults is 600 mg, once daily. Dosing at bedtime recommended
during first 2–4 weeks of therapy to improve tolerability. In a child above 3
years of age with 10–14 kg of body weight, the dose is 200 mg; for 15–19 kg,
250 mg; for 20–24 kg 300 mg; for 25–32.4 kg, 350 mg; for 32.5–39 kg, 400 mg ≤ 40 kg; 600 mg to be taken once a day.
TH v2 2019 - 2026 pharmacy180.com; Developed by Therithal info.