CNS Stimulants - Respiratory stimulants - Synthesis and Drug Profile - a. Doxapram (Carbopram) b. Nikethamide (Coramine) c. Bemigride - Structure, Properties, uses, Synthesis, Assay, Storage, Dosage forms, Dose
SYNTHESIS AND DRUG PROFILE
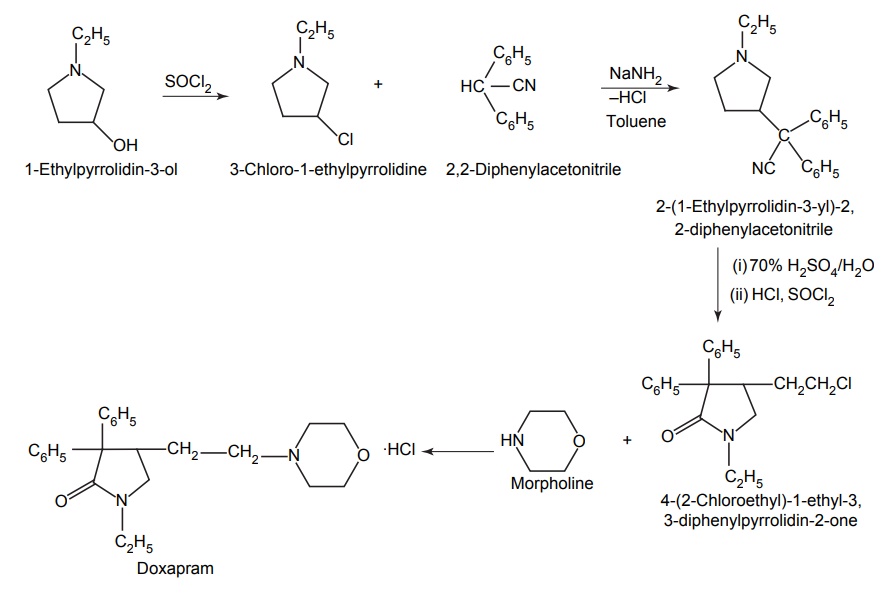
Respiratory stimulants

Properties and uses: It exists as white or almost white crystalline powder, soluble in water, in alcohol, and in methylene chloride. It is a respiratory stimulant possessing slight vasopressor characteristics. It stimulates the peripheral carotid chemoreceptor.
Assay: Dissolve the sample in a mixture of 0.01 M hydrochloric acid and alcohol. Perform potentiometric titration using 0.1 M sodium hydroxide
Synthesis

Dose: Usual dose for postanaesthetic: IV 0.5–1.0 mg/kg.
Dosage forms: Doxapram injection B.P.

Properties and uses: It is an oily liquid or a crystalline mass, colourless, or slightly yellowish, miscible with water and with alcohol. It is a weak analeptic employed as respiratory stimulant.
Assay: Dissolve the sample in a mixture of acetic anhydride and anhydrous acetic acid. Titrate with 0.1 M perchloric acid and determine the end point potentiometrically.
Synthesis

Dose: 1 to 15 ml of 25% parenteral solution.
Dosage forms: Nikethamide injection B.P.

Synthesis

Uses: This agent is used in the treatment of barbiturate intoxication. It causes a rapid stimulation of the CNS.
Related Topics
TH 2019 - 2027 pharmacy180.com; Developed by Therithal info.