i. Benzonatate (Tessalon) ii. Carbetapentane (Toclase) iii. Caramiphen iv. Isoaminile - Synthesis and Drug Profile
Peripherally acting antitussives

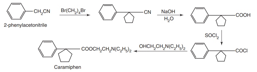
Synthesis

Properties and uses: It is a long-chain polyglycol derivative
chemically related to tetracaine and benzocaine. It is a potent antitussive
agent. It usually acts by inhibiting the transmission of impulses of the cough
reflex in the vagal nuclei of the medulla and predominately depresses
polysynaptic spinal reflexes. It is regarded as a cough suppressant acting both
centrally and peripherally.
Dose: The usual dose is 100 mg three times daily.

Synthesis

Properties and uses: It is a cough suppressant and is reported to
reduce bronchial secretions. It is found to be effective in acute coughs
associated with common upper respiratory infections.
Dose: The usual dose is 25–150 mg per day in divided doses.

Synthesis

Uses: It is a cough suppressant, less active than codeine, but with longer duration of action. It has little effect on respiration and no tolerance of dependence develops.

Uses: Used for control and management of cough, it is also a
bronchodilator.
Related Topics
TH 2019 - 2027 pharmacy180.com; Developed by Therithal info.