Phenothiazines - Tranquillizers - SYNTHESIS AND DRUG PROFILE : Phenothiazines - Structure, Properties, uses, Synthesis, Assay, Storage, Dosage forms, Dose
SYNTHESIS AND DRUG PROFILE
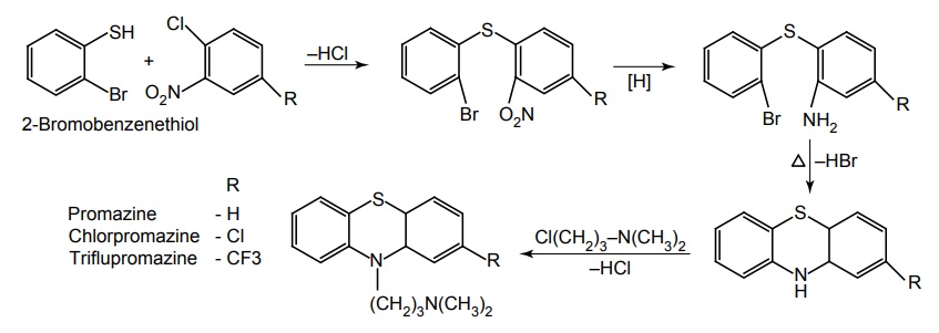
Phenothiazines
General synthesis of propyl dialkylamino side chain derivatives

Synthesis

Properties and uses: It is a white or almost white crystalline powder, slightly hygroscopic in nature. It is well soluble in water, alcohol, and methylene chloride. It has low clinical potency, medium extrapyramidal toxicity, high sedative effect, and high hypotensive action. It is used as dopamine receptor antagonist and neuroleptic.
Assay: Dissolve the sample in a mixture of 0.01 M hydrochloric acid and 50 ml of alcohol. Perform the potentiometric titration using 0.1 M sodium hydroxide.
Storage: It should be stored in well-closed airtight container and protected from light.
Dosage forms: Promazine injection B.P., Promazine oral suspension B.P., Promazine tablets B.P.
Chlorpromazine (Cain, Chlorpromazine, Megatil)
Metabolism: It is demethylated, sulphoxidized, hydroxylated, and glucuronidated to yield 7-o-glu-nor chlorpromazine.
Properties and uses: It is a white or almost white crystalline powder, freely soluble in ethanol and well soluble in water. The drug has significant sedative and hypotensive properties, possibly reflecting central and peripheral α -noradrenergic blocking activity and also effects the peripheral anticholinergic activity, used as dopamine receptor antagonist and neuroleptic.
Assay: Dissolve the sample in a mixture of 0.1 M hydrochloric acid and ethanol. Perform potentiometric titration using 0.1 M sodium hydroxide.
Storage: It decomposes on exposure to air and light, hence, it should be stored in well-closed airtight containers and protected from light.
Dose: The usual dose is 75–80 mg daily in divided doses for psychiatric patients. As an antiemetic, it is 25–50 mg.
Dosage forms: Chlorpromazine HCl injection I.P., Chlorpromazine tablets I.P., B.P., Chlorpromazine injection B.P., Chlorpromazine oral solution B.P.
Tiflupromazine
Properties and uses: It is a white to pale yellow, crystalline powder, hygroscopic in nature, soluble in alcohol and freely soluble in water. It has lower sedative and hypotensive effects than chlorpromazine, and greater milligram potency as an antipsychotic, used as dopamine receptor antagonist and neuroleptic.
Assay: Dissolve the sample in alcohol, to this add 0.01 M hydrochloric acid and perform potentiometric titration, using 0.1 M sodium hydroxide.
Storage: It should be stored in well-closed airtight container and protected from light.
Dosage forms: Trifluoperazine HCl injection I.P., Trifluoperazine HCl tablets I.P., Trifluoperazine tablets B.P.

Synthesis

Uses: It is effective in the management and manifestations of psychotic disorders with minimal anti-emetic action.
Thioridazine (Melozine, Ridazin, Melleril)
Properties and uses: It is a white or almost white crystalline powder, soluble in ethanol, freely soluble in water and in methanol. The drug exerts minimum antiemetic activity and there by gives rise to minimal extrapyramidal stimulation. The drug has sedative and hypotensive activity in common with chlorpromazine. It is effective in the management and manifestations of psychotic disorders, used as Dopamine receptor antagonist and neuroleptic.
Assay: Dissolve the substance in a mixture of anhydrous acetic acid and acetic anhydride and titrate with
0.1 M perchloric acid. Determine the end point potentiometrically.
Storage: It should be stored in well-closed airtight containers, and protected from light.
Dose: For Schizophrenia: Adult: Initially, 50–100 three times/day and slowly titrated upwards at not more than 100 mg/week. Maximum of 800 mg daily in 2–4 divided doses. Child, 2–12 year: Initially, 0.5 mg/kg daily in divided doses, increased gradually until optimum effect is obtained. Maximum: 3 mg/kg daily.
For Depression: Adult: Initially, 25 mg thrice/day, titrated to 20–200 mg daily.
Mesoridazine
Properties and uses: It shares many properties with thioridazine, but no pigmentary retinopathy has been reported.

Synthesis


Properties and uses: It is a white or yellowish-white crystalline powder soluble in dilute solutions of hydrochloric acid, soluble in alcohol, freely soluble in methylene chloride, and insoluble in water. It is used as dopamine receptor antagonist and neuroleptic.
Assay: Dissolve the sample in anhydrous acetic acid and titrate with 0.1 M perchloric acid, and determine the end point potentiometrically.
Storage: It should be stored in well-closed airtight container and protected from light.
Dosage forms: Perphenazine tablets B.P.
Prochlorperazine (Vometil, Stemetil, Emidoxyn)
Properties and uses: It is a white or pale yellow crystalline powder, well soluble in water and alcohol. It is more potent on a milligram basis than its alkylamino counterpart, chlorpromazine because of the high prevalence of extra-pyramidal symptom (EPS). It is mainly used for anti-emetic effect, not for its anti-psychotic effect, used as dopamine receptor antagonist and neuroleptic.
Assay: Dissolve the sample in anhydrous acetic acid by warming on a water-bath and allow it to cool to room temperature. Titrate with 0.1 M perchloric acid and determine the end point potentiometrically.
Storage: It should be stored in well-closed airtight container and protected from light.
Dose: For nausea and vomiting: Adult: As mesylate: 12.5 mg by deep IM. If required, may give further doses via oral route. For psychosis: Adult: As mesylate: 12.5–25 mg by deep IM injection twice/day or thrice/day.
Dosage forms: Prochlorperazine maleate tablets I.P., Prochlorperazine mesylate injection I.P., Prochlorperazine tablets B.P., Prochlorperazine buccal tablets B.P.
Fluphenecin (Anatensol, Decanoate, Fpz, Prolinate)
Properties and uses: It is a white or almost white crystalline powder, slightly soluble in ethanol and in methylene chloride, but freely soluble in water, used as dopamine receptor antagonist and neuroleptic.
Assay: Dissolve the sample in a mixture of anhydrous formic acid and acetic anhydride and titrate with 0.1 M perchloric acid. Determine the end point potentiometrically.
Storage: It should be stored in well-closed airtight container and protected from light. Dose: The usual dose is 1–2 mg daily for anxiety; up to 15 mg daily for schizophrenia.
Dosage form : Fluphenazine tablets B.P.
TH 2019 - 2027 pharmacy180.com; Developed by Therithal info.