Solved Problems on Structure Determination of Organic Compounds - Organic Chemistry
PROBLEMS
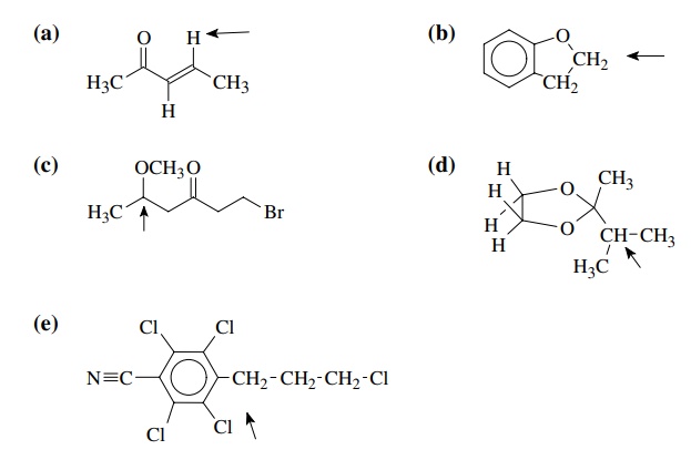
11.1. For the following
compounds, label the spin systems present, label the symmetry properties of
protons where possible (homotopic, enantiotopic, diastereotopic), and predict
the splitting pattern for the proton(s) indicated by an arrow.

Answer:

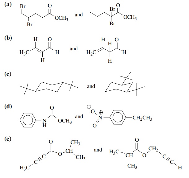
11.2. Tell how you could
use 1H NMR to distinguish the following pairs of compounds. Be
specific as to what data you would look for and how you would interpret it.
There might be more than one feature in the 1H NMR that could be
used so give a complete answer.


Answer:


11.3. Tell how you could
use 13C NMR to distinguish the following pairs of compounds. Be
specific as to what data you would look for and how you would interpret it.
There might be more than one feature of 13C NMR that could be used
so give a complete answer.

Answer:


11.4. Tell how you could
use IR spectroscopy to distinguish the following pairs of compounds. Be
specific as to what data you would look for and how you would interpret it.
There might be more than one way to distinguish them by IR so give a complete
answer.


Answer:


11.5. Tell how you could
use mass spectrometry (MS) to distinguish the fol-lowing pairs of compounds. Be
specific as to what data you would look for and how you would interpret it.
There might be more than one way to distinguish them by MS so give a complete
answer.

Answer:

11.6. Rationalize the
major fragmentation pathways observed for ethyl pheny-lacetate A and diethyl phenylmalonate B.

Answer:

11.7. Give two
instrumental methods that would permit you to distinguish the following.
Explain what data you would use and how it would allow you to make the
distinction.

Answer:

Related Topics
TH 2019 - 2027 pharmacy180.com; Developed by Therithal info.