Antimalarials: Halofantrine, Artemether (Larither, Paluther) and Artether, Artesunate (Asunate, Ultera, Falcigo), Mefloquine
Micellaneous

Metabolism: The drug is metabolized by N-dealkylation
to desbutyl halofantrine by CYP3A4. The metabolites appear to be several folds
more active than the parent drug.

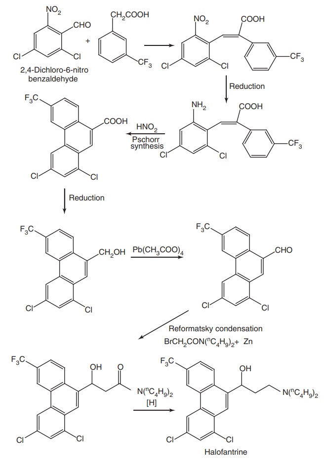
Synthesis

Properties and uses: Halofantrine is a white or almost white powder,
practically insoluble in water, soluble in methanol, and sparingly soluble in
alcohol. Structurally, halofentrine differs from all other antimalarial drugs
and belongs to the latest generation of antimalarials. It is a good example of
a drug design that incorporates bioisosteric principles evidenced by the
tri-fluoro methyl moiety. It is schizonticidal and has no effect on the
sporozoite, gametocyte, or hepatic stages. It is effective in the treatment and
prophylaxis of chloroquine and multidrug resistant P. falciparum.
Assay: It is as assayed by adopting Liquid chromatography technique.

Synthesis

Dose: The administered dose for acute uncomplicated falciparum malaria in the case of adults
is 80 mg daily to be taken with lumefantrine 480 mg daily. Doses to be taken at
diagnosis and repeated after 8, 24, 36,
48, and 60 h. Total doses are six. For a child, the daily dose based on the
body weight is as follows: 5–14 kg: 20 mg ; 15–24 kg: 40 mg with lumefantrine
240 mg; 25–34 kg; 60 mg with lumefantrine 360 mg and more than 34 kg; 80 mg
with lumefantrine 480 mg. Doses to be taken at diagnosis and repeated after 8,
24, 36, 48, and 60 h and the total doses are 6.

Synthesis

Dose: The dose in the case of falciparum
malaria for adults is 2.4 mg/kg via IM or IV administration to be repeated
after 12 h and 24 h later; then, once daily thereafter. For a child, the dose
is 2.4 mg/kg via IM or IV administration and to be repeated after 12 h and 24 h
later; then, once daily thereafter.

Metabolism of mefloquine: It is metabolized through CYP3A4 oxidation to
its major inactive metabolite called carboxy mefloquine and rest of the amount
is excreted unchanged in urine.

Properties and uses: Mefloquine hydrochloride is a white or slightly
yellow crystalline powder, very slightly soluble in water, soluble in methanol
and in alcohol. It is used as an antimalarial agent.
Assay: Dissolve the sample in anhydrous formic acid, add acetic
anhydride and titrate with 0.1 M perchloric acid. Determine the end-point
potentiometrically.
Related Topics
TH 2019 - 2027 pharmacy180.com; Developed by Therithal info.