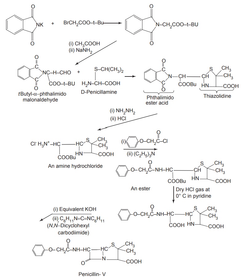
Penicillinase Susceptible Penicillins : Penicillin-V

Synthesis

Properties and uses: Penicillin V is a white, odourless, crystalline
powder with slightly bitter taste and soluble in water. It is more resistant to
inactivation by gastric juice than penicillin G and better absorbed from the
gastro intestinal (GI) tract. Equivalent oral doses provide two or five times
greater plasma concentration than penicillin G. Penicillin V is given to treat
‘trench mouth’. It is useful in the treatment of streptococcal pharyngitis,
pneumonia, arthritis, meningitis, and endocarditis caused by S. pyrogenes.
Dose: Dose of penicillin V by oral route is 125–500 mg six times daily
for 10 days. For prophylaxis of rheumatic fever, the dose is 125–250 mg twice
daily.
Assay: It is assayed by adopting liquid chromatography technique.
Related Topics
TH 2019 - 2027 pharmacy180.com; Developed by Therithal info.